高等数学之不定积分的计算方法总结
不定积分中有关有理函数、三角函数有理式、简单无理函数的求法,是考研中重点考察的内容,也是考研中的难点。不定积分是计算定积分和求解一阶线性微分方程的基础,所以掌握不定积分的计算方法很重要。不定积分考查的函数特点是三角函数、简单无理函数、有理函数综合考查,考查方法是换元积分法、分部积分法的综合应用。不定积分的求法的理解和应用要多做习题,尤其是综合性的习题,才能真正掌握知识点,并应用于考研。
不定积分的计算方法主要有以下三种:
(1)第一换元积分法,即不定积分的凑微分求积分法;
(2)第二换元积分法
(3)分部积分法
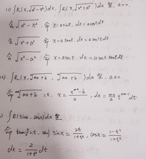
常见的几种典型类型的换元法:

常见的几种典型类型的换元法
题型一:利用第一换元积分法求不定积分
例1:

分析:

解:

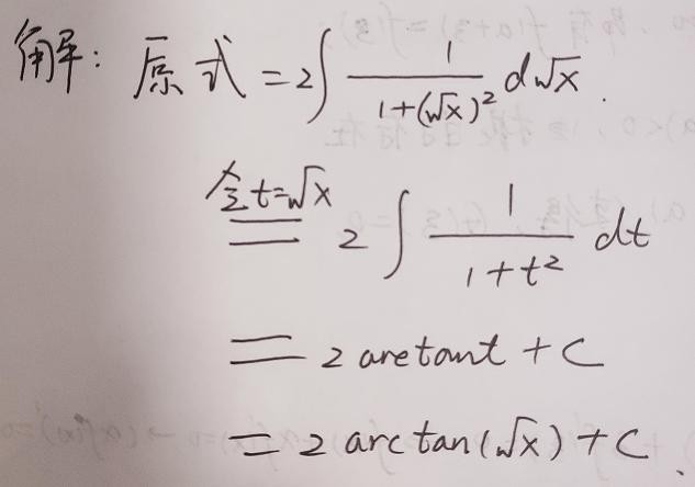
题型二:利用第二换元积分法求不定积分
例2:

解:

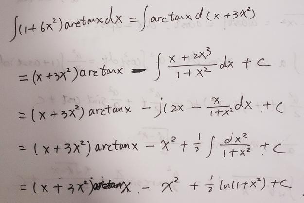
题型三:利用分部积分法求不定积分
分析:

例3:

解:

标签:
61
周大生黄金纯度怎么样值得买吗(周大生和周大福哪个好) 为什么都说周大生黄金不纯 之所以会有周大生黄金不纯的说法,是因为周大生之前被曝有黄金纯度掺假的情况。不过,在近...
165
赵雅芝美图赏析:卡其色大衣展现大气高级感 近日,著名影视演员赵雅芝在社交媒体上晒出了一组令人瞩目的美图,瞬间吸引了广大粉丝和网友的热烈关注。这组照片不仅展现了赵雅芝...
116
赵丽颖的20张美照,张张图片皆为珍藏款...
159
预备警官10秒“教科书级”处置被网友点赞! 3月11日19时许 内蒙古自治区呼和浩特市 地铁1号线 呼和浩特东站内 一名携带行李箱的男子在电动扶梯上 突然失衡后仰摔倒 这时一名大学生...
105
「香港小虎队」林立洋罹大肠癌! 认了癌后呈半退休状态 记者叶文正/台北报导 香港籍资深男星林立洋曾组「香港小虎队」红极一时,当时唱红经典港剧《新扎师兄》主题曲,并与梅...
139
水浒传该这样读之牛二 牛二,人称“没毛大虫”,是一条黑凛凛的大汉,看清楚是大汉不是好汉。牛二是京城有名的破落户破皮,就是无赖耍流氓。但这人对自己还是比较狠的。在杨志...
90
吕岳:瘟神鼻祖,会三头六臂,拥有圣人之下最强的群伤能力 吕岳,是神魔小说《封神演义》中的仙人。他师从截教的通天教主,截教是当时三界第一教派,有着“万仙来朝”的美誉,...
95
柳岩微博大秀笛梵洗发水,网友表示很幸福 “谢谢笛梵洗发水套装礼物”,柳岩12月2号发了一条微博并配了合照,迎来了大批网友的评论,更有网友感觉很幸福“女神和我用的是同一个...
77
不得不“鸟”你!遛鸟能遛出这样的“绝活”~ 出门遛鸟 鸟笼是必不可少的装备 小编在公园里看到了下面这一幕 这年头怎么连鸽子都会溜弯了 天哪~这两只鸽子还会爬楼梯,难道是成...
181
10.28考研政治每日一题丨南京临时政府的性质 作为一名合格的考研人 你一定知道 政治是一门投入少 回报较大的课程 但是万万不能忽略其重要性 考研冲刺期 提分好机会! 每天跟着我们...
117
这款日本染发剂发现致癌物 200万产品被召回! 近日,日本知名百元店连锁企业“大创”公司在其官网发布《道歉并向购买“Evavirena白发触感”的顾客发布消息》,称旗下近千家店铺,...
141
张怡——甜美可爱 张怡(美图欣赏) 1994年6月22日,出生于安徽省合肥市,汉族人。 上海视觉艺术学院毕业 身高——164 cm “亚洲音乐盛典”2019年度荣誉新人女子组合奖。 星座:巨蟹座 巨...
190
胸部训练——下斜哑铃卧推! 新浪微博@跑步指南 | 微信公号跑步指南 【动作名称】 下斜哑铃卧推 【训练部位】 主要是锻炼胸大肌肉下部的好方法,同时对肱三头肌、三角肌前束也有...
159
王者荣耀程咬金五款皮肤谁最受欢迎,老玩家都选它 星际陆战队:这款皮肤售价888,不过用的人很少毕竟没有什么特色,而且特效这方面几乎为零,前一段时间可以免费领取,如果没有...
68
刷宝APP每天看短视频领元宝,真的能赚钱吗? 今天和大家说的网赚项目,【刷宝】APP看视频领红包。 这是一款通过看视频就能赚现金的APP,我们在刷宝APP上看视频就能获得元宝红包,...
158
舒淇 图片来源于网络 舒淇(Shu Qi),本名林立慧,1976年4月16日出生于台湾,是一位备受欢迎的华语女演员和模特。她以其出众的外表和出色的演技而受到观众的喜爱,在亚洲电影界享...
66
沈腾太能“装病”了!央视春晚,最佳小品非《还不还》莫属 论演技,我最服沈腾! 今年的央视春晚,沈腾、马丽、常远、艾伦等一起表演的小品《还不还》,实在是“笑”果满满!...
97
强推不经语《误入浮华》 缘起高甜甜要拍《误入浮华》,又听闻男主王居安是晋江霸总头牌,按捺不住好奇心,把不经语的原著找来,不得不说,太好看了,这是一幅商场沉浮的人间浮...
78
莆田湄洲湾职业技术学院仙游校区学生公寓住宿费收费标准来啦 市教育局: 你局《关于商请核定湄洲湾职业技术学院仙游校区学生公寓住宿费收费标准的函》(莆教函〔2021〕28号)收...
99
毛阿敏:乐坛传奇,优雅依旧,歌声传递力量 我想你可能是想询问关于毛阿敏的状态或相关信息,下面是一篇关于毛阿敏的简要介绍: 毛阿敏,作为国内知名的歌唱家,她的音乐生涯...