深入理解对数函数 - log函数的图像和基本性质
深入理解对数函数 - log函数的图像和基本性质
很多人对 对数函数有着畏难心理,本文试图从对数函数的定义,基本性质,图形等方面帮助大家对 对数函数有一个大概的了解。
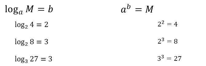
对数函数的定义

对数函数的定义

对数函数 x, y 之间的关系
对数函数的图形特征:

a>1时的函数图像
定义域:x > 0
过定点(1, 0)
单调递增

a<1时的函数图像
定义域:x > 0
过定点(1, 0)
单调递减

a不同时的函数图像
理解对数

特别地,以10为底的对数记为lg:

以10为底的对数
以e为底的对数记为ln:

以e为底的对数
对数的基本性质:

对数的基本性质
对数函数的基本性质1

对数函数的基本性质2

对数函数的基本性质3

对数函数的基本性质4

对数函数的基本性质5

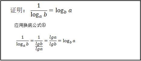
对数函数的基本性质6:换底

对数函数的基本性质7

对数函数的基本性质8:去指数

对数函数的基本性质9

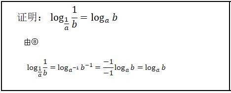
对数函数的基本性质10:去分数

对数函数的反函数
对数函数:

由对数函数的定义,可得:

由反函数的定义,将 x, y 替换,得到其反函数:

对数函数和其反函数的图像:

a>1时

a<1时
标签:
99
2024年双十一全网销售数据解读报告:平台玩法升级与消费行为解读 2024年双十一期间,各大电商平台在活动形式和促销策略上进行了全面升级,如延长活动周期、加强平台补贴等,整体...
87
浙江金华双龙洞景区,游玩攻略,免票政策 在浙江的腹地,金华市北郊,有一处宛如人间仙境的地方——双龙洞。 这里不仅是金华双龙景区的核心,更是大自然赠予我们的一处天然艺...
152
这所大学,为什么忽然上了日照的热搜? 12月2日,山东省教育厅官方网站发布《关于拟申报高校设置事项的公示》,其中日照技业技术学院拟申报为日照职业技术大学,成为日照本土第...
142
又下雪了!天津还下吗?这些地方有暴雪!最新预报 今天正月初二姑爷节 回娘家的路上遇到️了吗? 今天上午 天津部分地区下雪啦! 多位网友称 今天上午 武清、宝坻、蓟州、塘沽等...
64
想要养鹅,必须得知道该怎么去如何养鹅 # 《如何养鹅》 养鹅是一项有趣且具有一定经济效益的农业活动。以下将详细阐述如何养好鹅。 **一、鹅舍的建造** 鹅舍首先要选择合适的地理...
158
年底了,20条民主生活会批评意见,为您奉上 1.发挥党的领导核心作用上有一定差距,履行总揽全局、协调各方、统筹资源、集中发力等职能职责还有所欠缺,措施还不够精准,成效还...
82
发现了没,凡是结婚不主动要彩礼的女方家庭,一般是以下几种 最近,关于结婚彩礼的话题又在网上火了起来。彩礼,这个在中国有着几千年历史的传统习俗,到现在依然是很多人结婚...
147
道教神仙能力是怎么排名的? 对于道教神仙的排名,我们大致可以将它分为七个等级。这七个等级的划分几乎涵盖了在道教神仙系统当中所有的神仙。这七个等级由高到低分别是玉清三...
148
周润发:“香港之子”跌落神坛,晚节不保,完美人设竟然都是伪装 描述: 港片黄金时代的代表人物周润发,被誉为“香港之子”,近年来却因一系列争议事件引发公众质疑。完美形...
136
在西游记中,玉皇大帝每次宴会都要吃龙肝,龙王为什么不抗议? #头条创作挑战赛# 有些人觉得龙王不敢反抗玉帝吃龙肝,是因为玉帝太过于强大了,别的神仙妖怪见了他都要发抖,更...
180
让你了解一下北京钓鱼台 在北京,因为钓鱼台国宾馆声名赫赫,所以一提到“钓鱼台”,人们都以为说的是玉渊潭的钓鱼台。其实,老北京曾有四处钓鱼台,即东钓鱼台、西钓鱼台、南...
98
解放军第63军原军长——宋玉林 宋玉林 宋玉林(1915-2001),又名宋玉琳,江西省会昌县人,享年86岁。 1929年红4军在赣南扩红,14岁的 宋玉林 为招兵的红军干部们端茶倒水、忙前忙后…...
177
江苏盐城一定要去的9个景点,你都去过哪几个? 【大洋湾】 介绍:风景如画的生态景区,拥有大片樱花林和古建筑群。湖水碧波荡漾,四季景色各异,充满浪漫气息。 游玩攻略:打卡...
171
NBA火箭队新升级的logo也是醉了 网友:还是原来的好看 火箭队在国人心目中在NBA篮球队中有特殊的情感,当年的姚麦组合,大姚的球队让国人对这支球队有特殊的感情。休斯顿火箭队的...
88
NBA单场盖帽榜TOP5:鲨鱼竟未登顶?榜首纪录离谱到对手想报警! 篮球场上,一记遮天蔽日的盖帽堪比“火锅盛宴”,既能让对手怀疑人生,也能点燃全场激情。今天,咱们就来扒一扒...
195
4小时步行五公里游玩西安大唐不夜城总结的实战经验和注意事项 西安大唐不夜城:奢华、大气、淡季人挨人,旺季人挤人 有人说大唐不夜城不好玩,那是因为你没看表演、没互动。个...
121
小穴位大健康(73)秩边穴——治疗坐骨神经痛的边陲大穴 秩边穴归属经络 秩边穴归属足太阳膀胱经,秩即秩序,边即边缘,足太阳脉的背部诸穴,依次排列,井然有序,此穴居其最下...
174
世界围棋冠军柯洁保送清华大学,遭网友质疑:期末考试能及格吗? 提起来柯洁想必大家都很熟悉,他6岁开始学习围棋,7岁首次参加围棋比赛,11岁成为职业棋手,16岁就担任了中国围...
175
山西乡宁节前产业再发力 推进文旅商融合发展 中新网山西新闻1月25日电 (李新锁)春节临近,游子归乡。山西乡宁借助在外乡贤回乡之机,邀请各方共谋区域产业发展机遇。在“优质焦...
65
鬼迷心窍——李宗盛 鬼迷心窍 音乐:李宗盛 鬼迷心窍 李宗盛 曾经真的以为人生就这样了 平静的心拒绝再有浪潮 斩了千次的情丝却断不了 百转千折它将我围绕 有人问我你究竟是那里...